Публикации

На главную Закрыть

УДК 532.52

М.Г. Беспалов, А.А. Кононов,  Д.В. Ковальчук, Е.А. Безносов

ОПРЕДЕЛЕНИЕ ДИНАМИЧЕСКИХ   ХАРАКТЕРИСТИК ТЕЧЕНИЯ ЖИДКОСТИ В МАГИСТРАЛЯХ С ОСЦИЛЛИРУЮЩИМ ИСТОЧНИКОМ ДАВЛЕНИЯ

 
 

Одной из основных задач анализа гидравлических систем является определение давлений, скоростей и расходов жидкости, возбуждаемых гидравлическим импульсом давления или скорости при нулевых или иных начальных условиях.

В специальной литературе широко известны волновые уравнения Н.Е. Жуковского, полученные им для исследования гидравлического удара [1]:

(f1)

где (t1) и (t2) - скорость и давление жидкости соответственно.

Продифференцировав первое уравнение по x, а второе по t, будем иметь:

(f2)

Проделав ту же операцию относительно скорости, получим:

(f3)

После преобразования система (1) приводится к двум уравнениям в частных производных второго порядка (2) и (3). Эти уравнения являются системой гиперболического типа. Общий интеграл для (2) и (3) получен задолго до начала изучения гидравлического удара и освещается в специальной литературе математической физики [2]. Для изучения неустановившегося движения жидкости в исполнительном органе возбудителя колебаний важно найти частные решения уравнений (2) и (3), удовлетворяющие соответствующим граничным условиям.

Для уравнения (2) граничные условия:

(P1)

а для уравнения (3):

(P2)

где (t3) и (t4) - периодические функции времени.

Если (t5) определяется законом движения плунжера (рис.1) то (t6), (t7) остаются неизвестными и их требуется определить. По этому начинать решение системы необходимо с уравнения (3). Это задача - без начальных, но с известными граничными условиями, причем одно из последних является неоднородным.

Рис.1. Расчетная схема.

1 - плунжер, возбуждающий колебания с частотой w в жидкости

трубопровода;

2 - трубопровод (рукав);

3 - исполнительный орган.

Граничные условия для удобства решения задачи представим в форме:

(f4)

Рассмотрим гармоники выше первого порядка (t8). Представим функцию (t9) в виде произведения двух функций [7]

(f5)

Примем x=0, тогда уравнение (5) примет вид:

(p3)

а при граничных условиях

(p4)

Примем t=0:

(p5)

Представим, что (t10), тогда (5) приобретет вид:

(f6)

Примем (t11), уравнение (6) принимает вид при граничных условиях:

 (f7)

Примем (t13). Это произойдет, когда (t12). Тогда получим:

(p6)

(p7)

(f8)

Теперь примем (t14). Это произойдет, когда (t15). При этом получим:

(p8)

(p9)

(f9)

Преобразуем (6):

(p10)

а при известных теперь (8) и (9)

 (f10)

Следовательно, функция (t9) найдена. Решим аналогичную задачу определения функции (t16). Обратимся к системе уравнений (1) и по известной теперь функции скорости (10) определим две частных производных функции (t17) и (t18).

Подставляя (10) в первое уравнение системы (1) и дифференцируя (t9) по t получим:

(f11)

Проинтегрируем полученное выражение по x

(f12)

Подставляя (10) во второе уравнение системы (1) и дифференцируя (t9) по x получим:

(f13)

Проинтегрируем полученное выражение по t

(f14)

Получили для функции (t19) следующие уравнения

(f15)

Определим произвольные функции (t20) и (t21). При любых значениях x и t (t22), значит (t23). Из равенства свободных членов (t20) и (t21) следует, что функция (t19) для n-ой гармоники при (t8)равна

(f16)

а для числа гармоник равного m:

(f17)

Для первой гармоники граничные условия приобретают иной вид:

(f18)

Аналогичным образом, как и в случае при (t8) представим функцию (t24) в виде произведения двух функций

(f19)

Примем x=0, тогда уравнение (19) примет вид:

(p11)

а при граничных условиях

(p12)

Примем (t25), тогда получаем:

(p13)

(f20)

Функция (19) при (t25) примет вид:

(f21)

Примем (t11), тогда

(p14)

а при граничных условиях (18) (t26) равна

(p15)

Сократим обе части уравнения на (t27):

(p16)

а с учетом (20)

(p17)

Отсюда

(f22)

Функция (21) с учетом (20) и (22) примет вид:

(f23)

Подставим (23) в систему (1). Продифференцировав первое уравнение по t получим

(f24)

Проинтегрировав (24) по x получим при

(f25)

Продифференцировав второе уравнение системы (1) по x получим

при (t28)

(f26)

Интегрировав (26) по t получим

(f27)

Получили для функции (t29) следующие выражения:

(f28)

Произвольные постоянные (t30) и (t31) должны быть равны при любых значениях x и t, значит (t32). Из равенства свободных членов (t30) и (t31) следует, что функция (t29) для первой гармоники равна:

(f29)

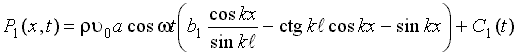
Уравнения (17) и (29) показывают зависимость давлений (t33) и (t34) от времени t по длине рукава x для n-ой гармоники и для первой соответственно.

А уравнение зависимости (t16)будет иметь вид:

(f30)

где (t35)- плотность жидкости;

a - скорость распространения звука в рабочей жидкости.

Функции (t36) и (t16) полностью определяют нестационарное течение жидкости в соединительном упругом элементе между источником и исполнительным органом давления.

Список использованных источников

1. Могендович Е.М. Гидравлические импульсные системы. - Л.: "Машиностроение", 1977. стр.216.

2.Тихонов А.Н., Самарский А.А. Уравнения математической физики. - М.: Наука, 1977. стр.736.

3. Беспалов М.Г., Перелыгин А.И. К вопросу определения динамических характеристик нестационарного течения жидкости в исполнительном органе возбудителя колебаний на эластичных оболочках. // Динамика виброактивных систем и конструкций. - Иркутск, 1988 г. стр.126-129.


Вы можете связаться с нами или с Web-мастером

665709, Иркутская обл., г. Братск, ул. Макаренко, 40
БрГУ, 2 корпус, кафедра "Подъемно-транспортные,
строительные, дорожные машины и оборудование" ,
аудитория 128, тел. (3953) 325-365

email: sdm@brstu.ru

Copyright © 1999-2006 by Bratsk State Techical University
Copyright © 1999-2006 by Chair "Road & Building Construction Machinery & Equipment"

Copyright © 1999-2006 by Alexey A. Trofimov
Design & Supporting © 1999-2006 by Alexey A. Trofimov
Webmaster © 2004 by Evgeny S. Kurkin
Webmaster © 2006 is Alexey Suchkov